算法
时间复杂度的计算
1) 一层循环:
1.列出循环函数 t 和每轮循环 i 的变化值
2.找到t与i之间的关系
3.确定循环停止的条件
4.联立两式,解方程
2)两层循环:
1.列出外层循环中 i 的变化值
2.列出内层语句的执行次数
3.求和,写结果
3)多层循环:
法一:
1.抽象为计算三维体积
法二:
2.列式求和
链表
package com.zfc.smallchange.oop;
public class LinkedList {
public static void main(String[] args) {
Node jack = new Node("jack");
Node tom = new Node("tom");
Node zfc = new Node("zfc");
jack.next = tom;
tom.pre = jack; // 修正前驱节点的链接
tom.next = zfc;
zfc.pre = tom;
Node first = jack;
// 打印链表
while (first != null) {
System.out.println(first.string()); // 调用 Node 类中的 string 方法打印节点数据
first = first.next;
}
System.out.println("=======从尾部开始遍历链表======");
// 从尾部开始遍历链表
Node last = zfc;
while (last != null) {
System.out.println(last.string());
last = last.pre;
}
}
static class Node {
public Object data;
public Node pre;
public Node next;
public Node(Object data) {
this.data = data;
}
// 新增方法 string
public String string() {
return "Node data: " + data;
}
}
}数据结构(Python)
算法和算法分析
时间复杂度


空间复杂度


线性表的定义

选择排序


插入排序

快速排序

[50, 24, 60,93,24,20]
def partition(nums, low, high):
# 进行分区操作,选取第一个值为基准
pivot = nums[low]
i = low
j = high
while i < j:
# j是从右向左走,如果值大于pivot则位置保持不变,j左移
while i < j and nums[j] >= pivot:
j -= 1
# 不满足上述条件时,nums[j]<pivot,应该放在左边,所以将i位置赋值为j
# 此时j位置空出
nums[i] = nums[j]
# I是从左向右走,如果值小于pivot则位置保持不变,i右移
while i < j and nums[i] < pivot:
i += 1
# 不满足上述条件时,nums[i]>=pivot,应该放在右边,所以将h位置赋值为i
# 此时j位置空出
nums[j] = nums[i]
# 将pivot的值放到正确的索引位置
nums[i] = pivot
return i
# 快速排序函数
def quickSort(arr, low, high):
# arr[] --> 排序数组
# low --> 起始索引
# high --> 结束索引
if low < high:
pi = partition(arr, low, high) #pi为基准值的正确索引位置
quickSort(arr, low, pi - 1) #递归的排序子序列
quickSort(arr, pi + 1, high) #递归的排序子序列
return arr
最优时间复杂度 : O(nlogn) 最坏时间复杂度 : O(n^2) 不稳定
归并排序

#merge的功能是将前后相邻的两个有序表归并为一个有序表的算法。
def merge(left, right):
ll, rr = 0, 0
result = []
while ll < len(left) and rr < len(right):
if left[ll] < right[rr]:
result.append(left[ll])
ll += 1
else:
result.append(right[rr])
rr += 1
result+=left[ll:]
result+=right[rr:]
return result
def merge_sort(alist):
if len(alist) <= 1:
return alist
num = len(alist) // 2 # 从中间划分两个子序列
left = merge_sort(alist[:num]) # 对左侧子序列进行递归排序
right = merge_sort(alist[num:]) # 对右侧子序列进行递归排序
return merge(left, right) #归并
tesl=[1,3,45,23,23,12,43,45,33,21]
print(merge_sort(tesl))
#[1, 3, 12, 21, 23, 23, 33, 43, 45, 45]
最优和最坏 : 时间复杂度 O(nlogn) 稳定
顺序查找


二分查找

递归方式实现
def binary_search(alist, item):
if len(alist) == 0:
return False
else:
midpoint = len(alist)//2
if alist[midpoint]==item:
return True
else:
if item<alist[midpoint]:
return binary_search(alist[:midpoint],item)
else:
return binary_search(alist[midpoint+1:],item)
testlist = [0, 1, 2, 8, 13, 17, 19, 32, 42,]
print(binary_search(testlist, 3))
print(binary_search(testlist, 13))
非递归的方式实现
def binary_search(alist, item):
first = 0
last = len(alist)-1
while first<=last:
midpoint = (first + last)/2
if alist[midpoint] == item:
return True
elif item < alist[midpoint]:
last = midpoint-1
else:
first = midpoint+1
return False
testlist = [0, 1, 2, 8, 13, 17, 19, 32, 42,]
print(binary_search(testlist, 3))
print(binary_search(testlist, 13))数据结构

顺序表

链表


单向链表

#定义节点
class Node(object):
def __init__(self,elem):
self.elem=elem
self.next=None
#构造单向链表
class SingleLinkedList:
#判断链表是否为空:_head指向None,则为空
def is_empty(self):
'''
if self._head==None:
print("True")
else:
print("False")
'''
return self._head==None
#单向链表初始化
def __init__(self,node=None):
#判断node是否为空
if node!=None:
headNode=Node(node)
self._head=headNode
else:
self._head=node
#计算链表长度
def length(self):
count=0
curNode=self._head
while curNode!=None:
count+=1
curNode=curNode.next
return count
#遍历链表
def travel(self):
curNode=self._head
while curNode!=None:
print(curNode.elem,end='\t')
curNode=curNode.next
print(" ")
#在头部添加元素
def add(self,item):
#将传入的值构造成节点
node=Node(item)
#将新节点的链接域next指向头节点
node.next=self._head
#将链表的头_head指向新节点
self._head=node
#在尾部添加元素
def append(self,item):
#将传入的值构造成节点
node=Node(item)
if self.is_empty(): #单链表为空
self._head=node
else: #单链表不为空
curNode=self._head
while curNode.next!=None:
curNode=curNode.next
#修改节点,最后一个节点的next指向node
curNode.next=node
#在指定位置添加元素
def insert(self,pos,item):
#如果pos<=0,默认插入到头部
if pos<=0:
self.add(item)
#如果pos>链表长度,直接在尾部追加
elif pos>(self.length()-1):
self.append(item)
else:
#构造节点
node=Node(item)
count=0
preNode=self._head
while count<(pos-1): #查找前一个节点
count+=1
preNode=preNode.next
#修改指向
#将前一个节点的next指向插入节点
node.next=preNode.next
#将插入位置的前一个节点next指向新节点
preNode.next=node
#查找节点是否存在
def search(self,item):
curNode=self._head
while curNode!=None:
if curNode.elem==item:
return True
curNode=curNode.next
return False
#删除节点
def remove(self,item):
curNode=self._head
preNode=None
while curNode!=None:
if curNode.elem==item:
#判断是否是头节点
if preNode==None:#是头节点
self._head=curNode.next
else:
#删除
preNode.next=curNode.next
break
else:
preNode=curNode
curNode=curNode.next
if __name__=="__main__":
#初始化元素值为10单向链表
singleLinkedList=SingleLinkedList(30)
print("是否为空链表:",singleLinkedList.is_empty())
print("链表长度为:",singleLinkedList.length())
print("----遍历链表----")
singleLinkedList.travel()
print("-----查找-----",singleLinkedList.search(30))
print("-----头部插入-----")
singleLinkedList.add(1)
singleLinkedList.add(2)
singleLinkedList.add(3)
singleLinkedList.travel()
print("-----尾部追加-----")
singleLinkedList.append(10)
singleLinkedList.append(20)
singleLinkedList.travel()
print("-----链表长度-----",singleLinkedList.length())
print("-----指定位置插入-----")
singleLinkedList.insert(-1,100)
singleLinkedList.travel()
print("-----删除节点-----")
singleLinkedList.remove(100)
singleLinkedList.travel()顺序表与链表的对比

双向链表

class Node(object):
def __init__(self, item=None):
self.elem = item
self.prev = None
self.next = None
class DoubleLinkList:
def __init__(self, node=None):
self.__head = node
class DoubleLinkList:
def __init__(self, node=None):
self.__head = node
def is_empty(self): # 链表判空
if self.__head is None:
return True
else:
return False
def length(self): # 链表长度
cur = self.__head
count = 0
while cur is not None:
count += 1
cur = cur.next
return count
def travel(self): # 遍历链表
cur = self.__head
while cur is not None:
print(cur.elem, end=" ")
cur = cur.next
print(" ")
def add(self, item): # 链表头部添加元素
# item 是元素
node = Node(item)
self.__head.prev = node
node.next = self.__head
self.__head = node
def append(self, item): # 链表尾部添加元素
node = Node(item)
if self.is_empty():
self.__head = node
else:
cur = self.__head
while cur.next is not None:
cur = cur.next
node.prev = cur
cur.next = node
def insert(self, pos, item): # 指定位置添加元素
# pos 的位置从0起
if pos <= 0: # 头部插入
self.add(item)
elif pos > (self.length() - 1): # 尾部插入
self.append(item)
else: # 中间插入
index = 0
cur = self.__head
while index < pos:
index += 1
cur = cur.next
# 循环结束,cur在pos
node = Node(item)
node.prev = cur.prev
node.next = cur
node.prev.next = node # 等价与 cur.prev.next=node
node.next.prev = node # 等价与 cur.prev=node
def remove(self, item): # 删除节点
cur = self.__head
while cur:
if cur.elem == item:
if cur == self.__head: # 删除为头结点
self.__head = cur.next
if cur.next:
cur.next.prev = None
else: # 不在头结点
cur.prev.next = cur.next
if cur.next:
cur.next.prev = cur.prev
return True
else:
cur = cur.next
return False
def search(self, item): # 查找节点是否存在
if self.is_empty():
return False
else:
cur = self.__head
while cur is not None:
if cur.elem == item:
return True
else:
cur = cur.next
return False栈

#栈对象
class Stack(object):
#创建一个空栈
def __init__(self,size,top=-1):
self.size=size #栈的大小
self.top=top #栈的栈顶,初始化为-1
self.stackdata=[] #空列表,作为数据容器
#判断这个栈是否满了
def isfull(self):
return self.top+1==self.size
#判断在栈是否为空栈
def isEmpty(self):
return self.top==-1
#压栈,放入数据
def push(self,val):
if self.isfull(): #要做判断这个栈满了没有
print('stack is full')
return
else:
self.stackdata.append(val)
self.top+=1
#出栈,取出数据
def pop(self):
if self.isEmpty():#要判断这个栈是否为空
print('empty')
return
else:
self.stackdata.pop(self.top)
self.top-=1
#展示栈数据(也就是输出列表)
def showstack(self):
print(self.stackdata)
#获取到栈顶的数据
def peek(self):
if self.top!=-1:
return self.stackdata[self.top]
#返回这个栈多少个数据项
def size(self):
return len(self.stackdata)队列

class myQueue():
def __init__(self, size):#初始化一个空队列
self.size = size
self.front =0
self.rear = 0
self.queue = []
def enqueue(self, x): # 入队操作
if self.isfull():
print("queue is full")
return False
else:
self.queue.append(x)
self.rear = self.rear + 1
return True
def dequeue(self): # 出队操作
if self.isempty():
print("queue is empty")
return False
else:
duiwei = self.queue[self.front]
self.queue.pop(self.front)
return duiwei
def isfull(self):
return self.rear - self.front + 1 == self.size
def isempty(self):
return self.front == self.rear
def gethead(self):
if self.isempty():
return False
else:
return self.queue[self.front]
def show(self):
print(self.queue)
qq= myQueue(10)
print("初始化队列为空",qq.isempty())
for i in range(10):
qq.enqueue(i)
qq.show()
print("插入十个元素后,队满",qq.isfull())
print(qq.dequeue())
print(qq.dequeue())
print(qq.dequeue())
print(qq.dequeue())树




二叉树

二叉树的遍历


# 二叉树基于Python语言面自建类的实现
class Node(object):
"""
节点类
"""
def __init__(self, data, left=None, right=None):
self.data = data
self.left = left
self.right = right
class BinTreeClassWay(object):
"""
二叉树类
"""
def __init__(self, root=None):
self.root = root
def is_empty(self):
"""
判断二叉树是否为空
"""
return self.root == None
def add(self, data):
"""
添加节点,此方法无法控制将节点挂在到那颗子树,也就意味着它最终形成的二叉树为完全二叉树或满二叉树
"""
# 实例化一个新的节点对象
node = Node(data)
# 如果树是空的,则对根节点数据元素赋值
if self.root == None:
self.root = node
else:
# 创建一个存放节点的队列
queue = []
queue.append(self.root)
# 对已有的节点按层次进行遍历
while queue:
# 弹出队列的第一个节点
head = queue.pop(0)
if head.left == None:
head.left = node
return
elif head.right == None:
head.right = node
return
else:
#如果左右子树都不为空,加入队列继续判断
queue.append(head.left)
queue.append(head.right)
# 基于深度优先遍历
def preorder(self, bin_tree):
"""
先序遍历方法: 根节点->左子树->右子树
"""
if bin_tree == None:
return
print(bin_tree.data)
self.preorder(bin_tree.left)
self.preorder(bin_tree.right)
# 基于深度优先遍历
def inorder(self, bin_tree):
"""
中序遍历方法: 左子树->根节点->右子树
"""
if bin_tree == None:
return
self.preorder(bin_tree.left)
print(bin_tree.data)
self.preorder(bin_tree.right)
# 基于深度优先遍历
def postorder(self, bin_tree):
"""
后序遍历方法: 左子树->右子树->根节点
"""
if bin_tree == None:
return
self.preorder(bin_tree.left)
self.preorder(bin_tree.right)
print(bin_tree.data)
# 基于广度优先遍历
def breadth_first_travel(self, bin_tree):
"""
广度优先遍历
"""
if bin_tree == None:
return
# 该方法和 add 方法中的插入元素类似
queue = []
queue.append(bin_tree)
while queue:
node = queue.pop(0)
print(node.data)
if node.left:
queue.append(node.left)
if node.right:
queue.append(node.right)
def show(self):
"""
返回二叉树
"""
return self.root
if __name__ == "__main__":
bin_tree = BinTreeClassWay()
bin_tree.add('A')
bin_tree.add('B')
bin_tree.add('C')
bin_tree.add('D')
bin_tree.add('E')
bin_tree.add('F')
bin_tree.add('G')
print('先序遍历')
bin_tree.preorder(bin_tree.show())
print('中序遍历')
bin_tree.inorder(bin_tree.show())
print('后序遍历')
bin_tree.postorder(bin_tree.show())
print('广度优先遍历')
bin_tree.breadth_first_travel(bin_tree.show())
图
一、图Graph的概念
图Graph是比树更为一般的结构, 也是由节点和边构成
实际上树是一种具有特殊性质的图
图可以用来表示现实世界中很多事物
道路交通系统、航班线路、互联网连接、或者是大学中课程的先修次序
一旦我们对图相关问题进行了准确的描述,就可以采用处理图的标准算法来解决那些
看起来很艰深的问题
1.1 互联网
互联网是一张百亿个信息点的巨型网络
提供内容的Web站点已突破10亿个
由超链接相互连接的网页更是不计其数
Google每天处理的数据量约10PB
在天文数字规模的网络面前人脑已经无法处理
1.2 社交网络:六度分隔理论
世界上任何两个人之间通过最多6个人即可建立联系
互联网社交网络的兴起将每个人联系到一起
在社会中有20%擅长交往的人, 建立了80%的连接
区别于随机网络,保证了六度分隔的成立引出了无尺度网络的研究
二、术语表
顶点 Vertex(也“节点node”)
是图的基本组成部分,定点具有名称标识key,也可以携带数据项payload。
边 Edge(也称“弧Arc”)
作为2个顶点之间关系的表示,边连接两个顶点;边可以是有向的或者无向的,相应的图称做“有向图”和“无向图”。
权重 Weight
为了表达从一个顶点到另一个顶点的“代价”,可以给边赋权;例如公交网络中两个站点之间的“距离”、“通行时间”和“票价”都可以作为权重。
路径Path
图中的路径,是由边依次链接起来的顶点序列;无权路径的长度为边的数量;带权路径的长度为所有边权重的和;如下图的一条路径(v3,v4,v0,v1)
圈Cycle
圈是首尾顶点相同的路径,如下图中(V5,V2,V3,V5)
如果有向图中不存在任何圈,则称为“有向无圈图 directed acyclic graph:DAG”
如果一个问题能表示成DAG,就可以用图算法很好地解决。

三、图抽象数据类型:ADT Graph
3.1 定义
Graph() 创建一个空图
addVertex(vert) 将顶点vert加入图中
addEdge(fromVert, toVert) 添加有向边
addEdge(fromVert, toVert, weight) 添加带权的有向边
getVertex(vKey) 查找名称为vKey的顶点
getVertices() 返回图中所有顶点列表
in 按照vert in graph的语句形式,返回顶点是否存在图中True/False
3.2 ADT Graph的实现方法
两种方法各有优劣,需要在不同应用中加以选择
邻接矩阵adjacency matrix
邻接表adjacency list
3.2.1 邻接矩阵Adjacency Matrix
矩阵的每行和每列都代表图中的顶点,如果两个顶点之间有边相连,设定行列值
无权边则将矩阵分量标注为1,或者0
带权边则将权重保存为矩阵分量值
例如下面的带权图:

邻接矩阵顶实现法的优点是简单,可以很容易得到顶点是如何相连
但如果图中的边数很少则效率低下,成为“稀疏sparse”矩阵,而大多数问题所对应的图都是稀疏的,边远远少于|V|2这个量级,从而出现邻接列表。
3.2.2 邻接列表Adjacency List
邻接列表可以成为稀疏图的更高效实现方案
维护一个包含所有顶点的主列表(master list)。主列表中的每个顶点,再关联一个与自身由边链接的所有顶点的列表。
邻接列表法的寻出空间紧凑高效
很容易获得顶点所连接的所有顶点以及边的信息
例如上面的图转为邻接列表,与V0有关的有V1和V5,权重分别是5和2:

四、ADT Graph的实现:实例
4.1 Vertex类
下面展示了 Vertex 类的代码,包含了顶点信息, 以及顶点连接边信息
class Vertex:
def __init__(self,key):
self.id = key
self.connectedTo = {}
#从这个顶点添加一个连接到另一个
def addNeighbor(self,nbr,weight=0): #nbr是顶点对象的key
self.connectedTo[nbr] = weight
#顶点数据字符串化,方便打印
def __str__(self):
return str(self.id) + ' connectedTo: ' + str([x.id for x in self.connectedTo])
#返回邻接表中的所有顶点
def getConnections(self):
return self.connectedTo.keys()
#返回key
def getId(self):
return self.id
#返回顶点边的权重。
def getWeight(self,nbr):
return self.connectedTo[nbr]4.2 Graph 类
下面展示了 Graph 类的代码,包含将顶点名称映射到顶点对象的字典。Graph 还提供了将顶点添加到图并将一个顶点连接到另一个顶点的方法。getVertices方法返回图中所有顶点的名称。此外,我们实现了__iter__ 方法,以便轻松地遍历特定图中的所有顶点对象。 这两种方法允许通过名称或对象本身在图形中的顶点上进行迭代。
class Graph:
def __init__(self):
self.vertList = {}
self.numVertices = 0
#新加顶点
def addVertex(self,key):
self.numVertices = self.numVertices + 1
newVertex = Vertex(key)
self.vertList[key] = newVertex
return newVertex
#通过key查找顶点
def getVertex(self,n):
if n in self.vertList:
return self.vertList[n]
else:
return None
def __contains__(self,n):
return n in self.vertList
def addEdge(self,f,t,cost=0):
if f not in self.vertList: #不存在的顶点先添加
nv = self.addVertex(f)
if t not in self.vertList:
nv = self.addVertex(t)
self.vertList[f].addNeighbor(self.vertList[t], cost)
def getVertices(self):
return self.vertList.keys()
def __iter__(self):
return iter(self.vertList.values())
g = Graph()
for i in range(6):
g.addVertex(i)
g.addEdge(0,1,5)
g.addEdge(0,5,2)
g.addEdge(1,2,4)
g.addEdge(2,3,9)
g.addEdge(3,4,7)
g.addEdge(3,5,3)
g.addEdge(4,0,1)
g.addEdge(5,4,8)
g.addEdge(5,2,1)
for v in g: #遍历输出
for w in v.getConnections():
print("( %s , %s )" % (v.getId(), w.getId()))
Out:
{0: <__main__.Vertex at 0x2459cdf65f8>,
1: <__main__.Vertex at 0x2459cdf6630>,
2: <__main__.Vertex at 0x2459cdf6668>,
3: <__main__.Vertex at 0x2459cdf66a0>,
4: <__main__.Vertex at 0x2459cdf66d8>,
5: <__main__.Vertex at 0x2459cdf6710>}
( 0 , 1 )
( 0 , 5 )
( 1 , 2 )
( 2 , 3 )
( 3 , 4 )
( 3 , 5 )
( 4 , 0 )
( 5 , 4 )
( 5 , 2 )
五、图的应用
5.1 词梯问题
由 “ 爱 丽 丝 漫 游 奇 境 ” 的 作 者 LewisCarroll在1878年所发明的单词游戏。
从一个单词演变到另一个单词, 其中的过程可以经过多个中间单词,要求是相邻两个单词之间差异只能是1个字母,如FOOL变SAGE:
FOOL >> POOL >> POLL >> POLE >> PALE>> SALE >> SAGE
我们的目标是找到最短的单词变换序列,采用图来解决这个问题的步骤如下:
将可能的单词之间的演变关系表达为图
采用“广度优先搜索 BFS”,来搜寻从开始单词到结束单词之间的所有有效路径
选择其中最快到达目标单词的路径
5.1.1 构建单词关系图
首先是如何将大量的单词集放到图中:将单词作为顶点的标识Key,如果两个单词之间仅相差1个字母,就在它们之间设一条边
下图是从FOOL到SAGE的词梯解, 所用的图是无向图, 边没有权重

单词关系图可以通过不同的算法来构建(以4个字母的单词表为例)
1.首先是将所有单词作为顶点加入图中,再设法建立顶点之间的边
2.建立边的最直接算法, 是对每个顶点(单词) , 与其它所有单词进行比较, 如果相差仅1个字母, 则建立一条边时间复杂度是O(n^2),对于所有4个字母的5110个单词,需要超过2600万次比较
3.改进的算法是创建大量的桶, 每个桶可以存放若干单词
4.桶标记是去掉1个字母,通配符“_”占空的单词
5.所有单词就位后,再在同一个桶的单词之间建立边即可
5.1.2 采用字典建立桶
def buildGraph(wordfile):
d = {}
g = Graph()
wfile = open(wordfile,'r')
for line in wfile:
word = line[:-1]
for i in range(len(word)):
bucket = word[:i] + '_' + word[i+1:]
if bucket in d:
d[bucket].append(word)
else:
d[bucket] = [word]
#同一个桶的单词建立边
for bucket in d.keys():
for word1 in d[bucket]:
for word2 in d[bucket]:
if word1 != word2:
g.addEdge(word1, word2)
return g
5.2 拓扑排序(Topological Sort)
很多问题都可转化为图, 利用图算法解决,例如早餐吃薄煎饼的过程,以动作为顶点,以先后次序为有向边。(有先后次序和依赖关系)

图得到工作次序排列的算法,称为“拓扑排序”
拓扑排序处理一个有向无圈图(DAG), 输出顶点的线性序列:使得两个顶点v,w,如果G中有(v,w)边,在线性序列中v就出现在w之前。
拓扑排序广泛应用在依赖事件的排期上,还可以用在项目管理、 数据库查询优化和矩阵乘法的次序优化上。拓扑排序可以采用DFS很好地实现:
将工作流程建立为图,工作项是节点,依赖关系是有向边
工作流程图一定是个DAG图,否则有循环依赖
对DAG图调用DFS算法,以得到每个顶点的“结束时间”,按照每个顶点的“结束时间”从大到小排序
输出这个次序下的顶点列表
5.3 强连通分支
我们关注一下互联网相关的非常巨大图:
由主机通过网线(或无线)连接而形成的图;
以及由网页通过超链接连接而形成的图。
先看网页形成的图
以网页(URI作为id)为顶点,网页内包含的超链接作为边,可以转换为一个有向图。
图中包含了许多路德学院其它系的网站,包含了一些爱荷华其它大学学院的网站,还包含了一些人文学院的网站

我们可以猜想, Web的底层结构可能存在某些同类网站的聚集
在图中发现高度聚集节点群的算法, 即寻找“强连通分支Strongly Connected Components”算法
强连通分支, 定义为图G的一个子集C:C中的任意两个顶点v,w之间都有路径来回,即(v,w)(w,v)都是C的路径,而且C是具有这样性质的最大子集
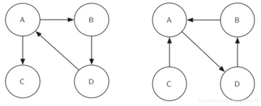
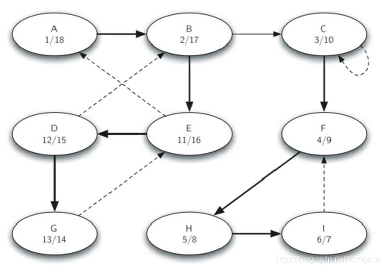
下图是具有3个强连通分支的9顶点有向图,一旦找到强连通分支, 可以据此对图的顶点进行分类, 并对图进行化简(9个顶点变为3个顶点,相当于聚类)

5.3.1 强连通分支算法:转置概念
在用深度优先搜索来发现强连通分支之前, 先熟悉一个概念: Transposition转置
一个有向图G的转置GT,定义为将图G的所有边的顶点交换次序,如将(v,w)转换为(w,v)。可以观察到图和转置图在强连通分支的数量和划分上,是相同的
下图互为转置,即

5.3.2 强连通分支算法: Kosaraju算法思路

5.3.3 Kosaraju算法实例
第一趟DFS

转置后第二趟DFS, 取结束时间最大的第一个开始
结果形成三个强连通分支:

Kosaraju算法最好理解,但是效率最差,因此另外的常用强连通分支算法有:
Tarjan算法
Gabow算法,对Tarjan的改进
5.4 最短路径问题
5.4.1 介绍
当我们通过网络浏览网页、 发送电子邮件、 QQ消息传输的时候, 数据会在联网设备之间流动。
所以我们可以将互联网路由器体系表示为
一个带权边的图:
路由器作为顶点,路由器之间网络连接作为边
权重可以包括网络连接的速度、网络负载程度、分时段优先级等影响因素
作为一个抽象,我们把所有影响因素合成为单一的权重
解决信息在路由器网络中选择传播速度最快路径的问题, 就转变为在带权图上最短路径的问题。
与广度优先搜索BFS算法解决的词梯问题相似, 只是在边上增加了权重。
5.4.2 Dijkstra算法
解决带权最短路径问题的经典算法是以发明者命名的“Dijkstra算法”( /ˈdɛɪkstra)
这是一个迭代算法, 得出从一个顶点到其余所有顶点的最短路径, 很接近于广度优先搜索算法BFS的结果
具体实现上, 在顶点Vertex类中的成员dist用于记录从开始顶点到本顶点的最短带权路径长度(权重之和) , 算法对图中的每个顶点迭代一次
步骤:
顶点的访问次序由一个优先队列来控制,队列中作为优先级的是顶点的dist属性。
最初, 只有开始顶点dist设为0, 而其他所有顶点dist设为sys.maxsize(最大整数) , 全部加入优先队列;
随着队列中每个最低dist顶点率先出队;
并计算它与邻接顶点的权重, 会引起其它顶点dist的减小和修改, 引起堆重排;
并据更新后的dist优先级再依次出队。
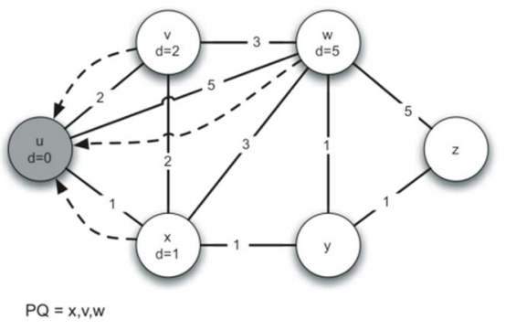
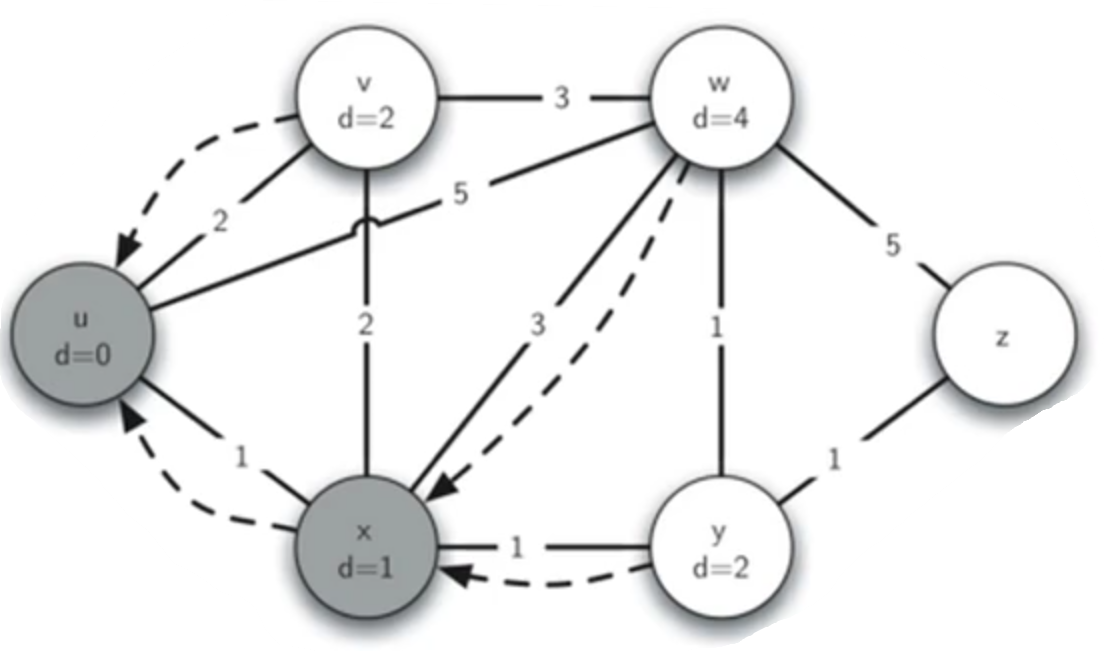
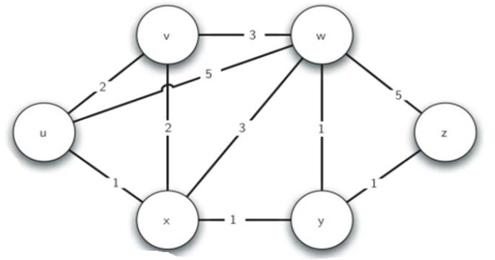
以下图为例:
设u为开始顶点,计算与u相连的其他顶点的权重,并将u出队。

更新v,x的权重,将较小的x(d=1)出队

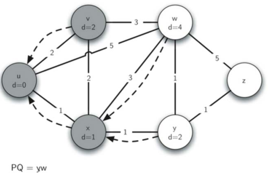
计算与x相连的v,w,y的权重,v:1+2=3 > 2,因此不更新权重,其余的更新。将最小的v出队
同时y(d=2)也出队,计算与之相连的w,z,并更新w,z
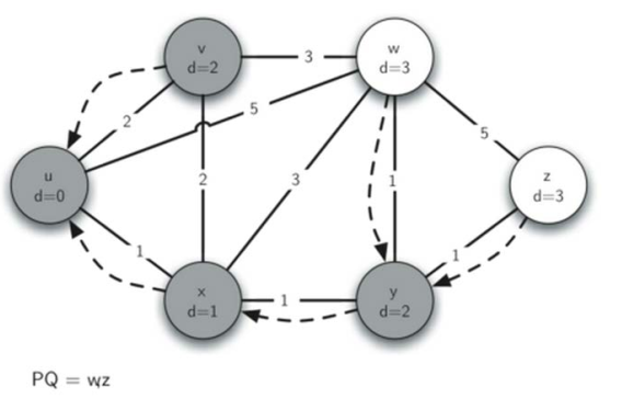
将w,z出队
form pythonds.graphs import Graph,PriorityQueue,Vertex
def dijkstra(aGraph, start):
pq = PriorityQueue()
start.setDistance(0)#开始点的距离设为0
pq.buildHeap([(v.getDistance(), v) for v in aGraph]) #对所有顶点建堆,形成优先队列
while not pq.isEmpty():
currentVert = pq.delMin() #优先队列出队
for nextVert in currentVert.getConnections():
newDist = currentVert.getDistance() + currentVert.getWeight(nextVert)
if newDist < nextVert.getDistance():#修改出队顶点所邻接顶点的dist,并逐个顶点的dist,并逐个
nextVert.setDistance(newDist)
nextVert.setPred(currentVert)
pq.decreaseKey(nextVert, newDist)
需要注意的是, Dijkstra算法只能处理大于0的权重,如果图中出现负数权重,则算法会陷入无限循环。
虽然Dijkstra算法完美解决了带权图的最短路径问题, 但实际上Internet的路由器中采用的是其它算法,其中最重要的原因是, Dijkstra算法需要具备整个图的数据, 但对于Internet的路由器来说, 显然无法将整个Internet所有路由器及其连接信息保存在本地,路由器的选径算法(或“路由算法”) 对于互联网极其重要, 有兴趣可以进一步参考“距离向量路由算法“
5.4.3 Dijkstra算法分析
首先, 将所有顶点加入优先队列并建堆,时间复杂度为O(|V|)
其次, 每个顶点仅出队1次, 每次delMin 花费O(log|V|), 一共就是O(|V|log|V|)
另外, 每个边关联到的顶点会做一次decreaseKey操作(O(log|V|)), 一共是O(|E|log|V|)
上 面 三 个 加 在 一 起 , 数 量 级 就 是O ( ( ∣ V ∣ + ∣ E ∣ ) l o g ∣ V ∣ ) O((|V|+|E|)log|V|)O((∣V∣+∣E∣)log∣V∣)
5.5 最小生成树
本算法涉及到在互联网中网游设计者和网络收音机所面临的问题:信息广播问题
信息广播问题最简单的解法是:由广播源维护一个收听者的列表, 将每条消息向每个收听者发送一次
信息广播问题的暴力解法, 是将每条消息在路由器间散布出去,如果没有任何限制, 这个方法将造成网络洪水灾难。
洪水解法一般会给每条消息附加一个生命值(TTL:Time To Live) , 初始设置为从消息源到最远的收听者的距离;每个路由器收到一条消息, 如果其TTL值大于0, 则将TTL减少1, 再转发出去,TTL的设置防止了灾难发生, 但这种洪水解法显然比前述的单播方法所产生的流量还要大。
信息广播问题的最优解法, 依赖于路由器关系图上选取具有最小权重的生成树(minimum weight spanning tree)
生成树:拥有图中所有的顶点和最少数量的边,以保持连通的子图。
图G(V,E)的最小生成树T, 定义为包含所有顶点V,以及E的无圈子集,并且边权重之和最小。
图为一个最小生成树,这样信息广播就只需要从A开始, 沿着树的路径层次向下传播就可以达到每个路由器只需要处理1次消息,同时总费用最小

5.5.1 Prim算法
解决最小生成树问题的Prim算法, 属于“贪心算法”, 即每步都沿着最小权重的边向前搜索。
构造最小生成树的思路很简单, 如果T还不是生成树, 则反复做:
找到一条最小权重的可以安全添加的边,将边添加到树T
“可以安全添加”的边, 定义为一端顶点在树中, 另一端不在树中的边, 以便保持树的无圈特性
from pq import PriorityQueue, Graph, Vertex
# 最小生成树prim算法
# G - 无向赋权图
# start - 开始节点
# 返回从开始节点创建最小生成树
def prim(G, start):
pq = PriorityQueue() # 创建优先队列
start.setDistance(0) # 起点最小权重代价设置为0,其它节点最小权重代价默认maxsize
# 将节点排入优先队列,start在最前面
pq.buildHeap([(v.getDistance(), v) for v in G])
while not pq.isEmpty():
# 取距离*已有树*最小权重代价的节点出队列,作为当前节点
# 当前节点已解出最小生成树的前驱pred和对应最小权重代价dist
currentVert = pq.delMin()
# 遍历节点的所有邻接节点
for nextVert in currentVert.getConnections():
# 从当前节点出发,逐个检验到邻接节点的权重
newCost = currentVert.getWeight(nextVert)
# 如果邻接节点是"安全边",并且小于邻接节点原有最小权重代价dist,就更新邻接节点
if nextVert in pq and newCost < nextVert.getDistance():
# 更新最小权重代价dist
nextVert.setPred(currentVert)
# 更新返回路径
nextVert.setDistance(newCost)
# 更新优先队列
pq.decreaseKey(nextVert, newCost)
G = Graph()
ndedge = [('A', 'B', 2), ('A', 'C', 3), ('B', 'C', 1),
('B', 'D', 1), ('B', 'E', 4), ('C', 'F', 5),
('D', 'E', 1), ('E', 'F', 1), ('F', 'G', 1)]
for nd in ndedge:
G.addEdge(nd[0], nd[1], nd[2])
G.addEdge(nd[1], nd[0], nd[2])
start = G.getVertex('A')
prim(G, start)
print(G)
G = Graph()
ndedge = [('v1', 'v2', 6), ('v1', 'v3', 1), ('v1', 'v4', 5),
('v2', 'v3', 5), ('v3', 'v4', 5), ('v2', 'v5', 3),
('v3', 'v5', 6), ('v3', 'v6', 4), ('v4', 'v6', 2),
('v5', 'v6', 6)]
for nd in ndedge:
G.addEdge(nd[0], nd[1], nd[2])
G.addEdge(nd[1], nd[0], nd[2])
start = G.getVertex('v1')
prim(G, start)
print(G)
import sys
class Graph:
def __init__(self):
self.vertices = {}
self.numVertices = 0
def addVertex(self, key):
self.numVertices = self.numVertices + 1
newVertex = Vertex(key)
self.vertices[key] = newVertex
return newVertex
def getVertex(self, n):
if n in self.vertices:
return self.vertices[n]
else:
return None
def __contains__(self, n):
return n in self.vertices
def addEdge(self, f, t, cost=0):
if f not in self.vertices:
nv = self.addVertex(f)
if t not in self.vertices:
nv = self.addVertex(t)
self.vertices[f].addNeighbor(self.vertices[t], cost)
def getVertices(self):
return list(self.vertices.keys())
def __iter__(self):
return iter(self.vertices.values())
def __str__(self):
s = ""
for v in self:
s += f"[{v.id},{v.dist},{v.pred.id if v.pred else None}] "
return s
class Vertex:
def __init__(self, num):
self.id = num
self.connectedTo = {}
self.color = 'white'
self.dist = sys.maxsize
self.pred = None
self.disc = 0
self.fin = 0
# def __lt__(self,o):
# return self.id < o.id
def addNeighbor(self, nbr, weight=0):
self.connectedTo[nbr] = weight
def setColor(self, color):
self.color = color
def setDistance(self, d):
self.dist = d
def setPred(self, p):
self.pred = p
def setDiscovery(self, dtime):
self.disc = dtime
def setFinish(self, ftime):
self.fin = ftime
def getFinish(self):
return self.fin
def getDiscovery(self):
return self.disc
def getPred(self):
return self.pred
def getDistance(self):
return self.dist
def getColor(self):
return self.color
def getConnections(self):
return self.connectedTo.keys()
def getWeight(self, nbr):
return self.connectedTo[nbr]
def __str__(self):
return str(self.id) + ":color " + self.color + ":disc " + str(self.disc) + ":fin " + str(
self.fin) + ":dist " + str(self.dist) + ":pred \n\t[" + str(self.pred) + "]\n"
def __repr__(self):
return str(self.id)
def getId(self):
return self.id
class PriorityQueue:
def __init__(self):
self.heapArray = [(0, 0)]
self.currentSize = 0
def buildHeap(self, alist):
self.currentSize = len(alist)
self.heapArray = [(0, 0)]
for i in alist:
self.heapArray.append(i)
i = len(alist) // 2
while (i > 0):
self.percDown(i)
i = i - 1
def percDown(self, i):
while (i * 2) <= self.currentSize:
mc = self.minChild(i)
if self.heapArray[i][0] > self.heapArray[mc][0]:
tmp = self.heapArray[i]
self.heapArray[i] = self.heapArray[mc]
self.heapArray[mc] = tmp
i = mc
def minChild(self, i):
if i * 2 > self.currentSize:
return -1
else:
if i * 2 + 1 > self.currentSize:
return i * 2
else:
if self.heapArray[i * 2][0] < self.heapArray[i * 2 + 1][0]:
return i * 2
else:
return i * 2 + 1
def percUp(self, i):
while i // 2 > 0:
if self.heapArray[i][0] < self.heapArray[i // 2][0]:
tmp = self.heapArray[i // 2]
self.heapArray[i // 2] = self.heapArray[i]
self.heapArray[i] = tmp
i = i // 2
def add(self, k):
self.heapArray.append(k)
self.currentSize = self.currentSize + 1
self.percUp(self.currentSize)
def delMin(self):
retval = self.heapArray[1][1]
self.heapArray[1] = self.heapArray[self.currentSize]
self.currentSize = self.currentSize - 1
self.heapArray.pop()
self.percDown(1)
return retval
def isEmpty(self):
if self.currentSize == 0:
return True
else:
return False
def decreaseKey(self, val, amt):
# this is a little wierd, but we need to find the heap thing to decrease by
# looking at its value
done = False
i = 1
myKey = 0
while not done and i <= self.currentSize:
if self.heapArray[i][1] == val:
done = True
myKey = i
else:
i = i + 1
if myKey > 0:
self.heapArray[myKey] = (amt, self.heapArray[myKey][1])
self.percUp(myKey)
def __contains__(self, vtx):
for pair in self.heapArray:
if pair[1] == vtx:
return True
return False
def __str__(self):
return str(self.heapArray)
算法与数据结构
本文采用 CC BY-NC-SA 4.0 许可协议,转载请注明出处。
评论交流
欢迎留下你的想法